圆的面积计算公式 圆的面积怎么怎么求
在中国古代的数学上,已经有关于圆的面积计算方法,而且数学课本上也非常详细的介绍了圆的面积怎么怎么求,只是很多人会忘记发关于它的公式,下面小编带大家简单了解一下圆的面积计算公式。
圆的面积计算公式1
圆的半径:r
直径:d
圆周率:π(数值为3.1415926至3.1415927之间的无限不循环小数),通常采用3.14作为π的数值
圆面积:

,S=πd/4
圆面积=圆周率×半径×半径
半圆的面积:S半圆=(πr2)÷2
半圆的面积=圆周率×半径×半径÷2
圆环面积: S大圆-S小圆=π(R2-r2)(R为大圆半径,r为小圆半径)
圆环面积=外大圆面积-内小圆面积
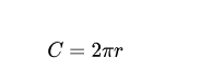
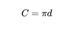
圆的周长:

或

圆的周长=直径×圆周率
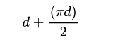
半圆的周长:

或者

半圆周长=圆周率×半径+直径
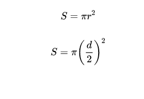
圆的面积计算公式2
圆面积公式是一种定理定律。
为圆周率*半径的平方,用字母可以表示为:S=πr2或S=π*(d/2)2。(π表示圆周率(3.1415926……),r表示半径,d表示直径)。

扩展资料
在半径为R的圆中,因为360°的圆心角所对的扇形的面积就是圆面积S=πR2;;,所以圆心角为n°的扇形面积:
S=(nπR2)÷360
扇形还有另一个面积公式
S=1/2lR (其中l为弧长,R为半径 )
本来S=(nπR2)÷360
按弧度制。2π=360度。因为n的单位为度.所以l为角度为n时所对应的弧长.即.l=θR=(n/180)π×R
∴s=(n/180)π*R*π*R/2π=1/2lR.






