长方形的宽公式 求长方形的长或宽
在数学里长方形的计算方式,是几何试题中常见问题,虽然长方形的公式很简单,但是还是很多人会忘记,以下就是小编为大家整理的一些关于长方形的宽公式的资料,大家一起来看看吧!
长方形的宽公式1

长方形的宽=周长÷2-长,或者长方形的宽=面积÷长。长方形也叫矩形,是一种平面图形,是有一个角是直角的平行四边形。
求长方形的长或宽
长方形的宽=长方形的面积÷长方形的长
长方形的宽=长方形的周长÷2-长方形的长
长方形的长=长方形的面积÷长方形的宽
长方形的长=长方形的周长÷2-长方形的宽
长方形长与宽
第一种意见:根据习惯,长方形长的那条边叫长,短的那条边叫宽。
第二种意见:和水平面同方向的叫做长,反之就叫做宽。长方形的长和宽是相对的,不能绝对的说“长比宽长”。
长方形的宽公式2
一、相关性质
1、两条对角线相等;
2、两条对角线互相平分;
3、两组对边分别平行;
4、两组对边分别相等;
5、四个角都是直角;
6、有2条对称轴正方形有4条、;
7、具有不稳定性易变形、;
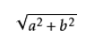
8、长方形对角线=

;
9、顺次连接矩形各边中点得到的四边形是菱形。
二、面积与周长
如果以同一面积的三角形而言,以等边三角形的周界最短; 如果以同一面积的四边形而言,以正方形的周界是最短; 如果以同一面积的五边形而言,以正五边形的周界最短;。
如果以同一面积的任意多边形而言,以正圆形的周界最短。周长只能用于二维图形平面、曲面、上,三维图形立体、 如柱体、锥体、球体等都不能以周界表示其边界大小,而是要用总表面面积。






